# 反馈移位寄存器
在 GF (2) 上的一个 n 级 FSR 通常由 n 个二元存储器和一个反馈函数组成

当反馈函数是线性的我们则将其称为 LFSR
反馈函数可表示为
# 举个栗子
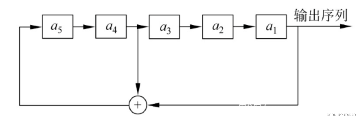
给定一个 5 级的 LFSR,其初始状态为
反馈函数
过程图

输出序列前 5 位已知 10011
第六位则为
接下来
以此推类
对于一个 n 级的 LFSR 来讲,其最大周期为,因此对于我们上面的 5 级 LFSR 来讲,其最大周期为。
从上面可以看出,LFSR 主要关心三个部分,初始状态,反馈函数和输出序列
一般遇到题目都是已知反馈函数和输出序列,求初始状态
# 题目
# [第七章 CTF 之 CRYPTO 章] LFSR
seed = 0x00000000 # you need to solve this | |
flag = 'n1book{seed}' | |
state = seed | |
mask = 0b10000000000000000000000001010111 | |
def lfsr(): | |
global state, mask | |
output = state & 1 | |
now = state & mask | |
new = 0 | |
while now: | |
new ^= now & 1 | |
now >>= 1 | |
state = (new << 31) | (state >> 1) | |
return output | |
for i in range(32): | |
lfsr() | |
print '%x' % state # 155a796b |
f=a_1⊕a_2⊕a_3⊕a_5⊕a_7⊕a_
当最后一次 lfsr () 时
new=s_1⊕s_2⊕s_3⊕s_5⊕s_7⊕s_
而 已知

# exp
state = seed | |
mask = 0b10000000000000000000000001010111 | |
sts=0x155a796b | |
key=bin(sts)[2:].zfill(32) | |
print(key) | |
mask = '10000000000000000000000001010111' | |
key='00010101010110100111100101101011' | |
R = '' | |
for i in range(32): | |
output = key[1:32]+'?' | |
out = int(key[0]) ^ int(output[-32]) ^ int(output[-2]) ^ int(output[-3]) ^ int(output[-5]) ^ int( | |
output[-7]) | |
R += str(out) | |
key = key[1:32]+ str(out) | |
print('flag{' + hex(eval('0b' + R)) + '}') |
# 2018 CISCN 线上赛 oldstreamgame
flag = "flag{xxxxxxxxxxxxxxxx}" | |
assert flag.startswith("flag{") | |
assert flag.endswith("}") | |
assert len(flag)==14 | |
def lfsr(R,mask): | |
output = (R << 1) & 0xffffffff | |
i=(R&mask)&0xffffffff | |
lastbit=0 | |
while i!=0: | |
lastbit^=(i&1) | |
i=i>>1 | |
output^=lastbit | |
return (output,lastbit) | |
R=int(flag[5:-1],16) | |
mask = 0b10100100000010000000100010010100 | |
f=open("key","w") | |
for i in range(100): | |
tmp=0 | |
for j in range(8): | |
(R,out)=lfsr(R,mask) | |
tmp=(tmp << 1)^out | |
f.write(chr(tmp)) | |
f.close() |
# exp
mask = '10100100000010000000100010010100' | |
key = '00100000111111011110111011111000' | |
tmp=key | |
R = '' | |
for i in range(32): | |
output = '?' + key[:31] | |
ans = int(key[-1])^int(output[-3])^int(output[-5])^int(output[-8])^int(output[-12])^int(output[-20])^int(output[-27])^int(output[-30]) | |
R += str(ans) | |
key = str(ans) + key[:31] | |
R = format(int(R[::-1],2),'x') | |
flag = "flag{" + R + "}" | |
print (flag) |
